管理类联考数学常用公式盘点
2020/12/21 13:48:06
来源: 网络
21管理类联考考试即将到来,考生们要抓住最后的几天时间查漏补缺。海天考研小编整理了管理类联考数学部分的常用公式,希望对同学们的复习有帮助。
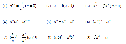
1

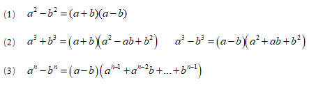
2

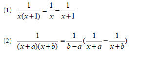
3

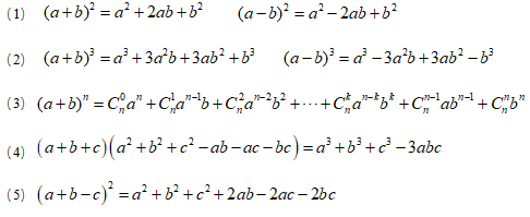
4

5

6

7

8

9

10

11

2025考研人数达388w,考研热度依旧火热!如何备战2026考研?哪个考研专业适合自己?在职考生如何备考?考研知识点繁多,择校困难大,和海天考研咨询老师聊一聊。网课面授多项选,专业辅导1对1,全年集训随时学!

热门推荐



